Nursbank
Test Bank for Pathophysiology: The Biologic Basis for Disease in Adults and Children – 9th Edition (McCance & Huether)
Test Bank for Pathophysiology: The Biologic Basis for Disease in Adults and Children – 9th Edition (McCance & Huether)
5.0 / 5.0
(5) 5 total reviews
Couldn't load pickup availability
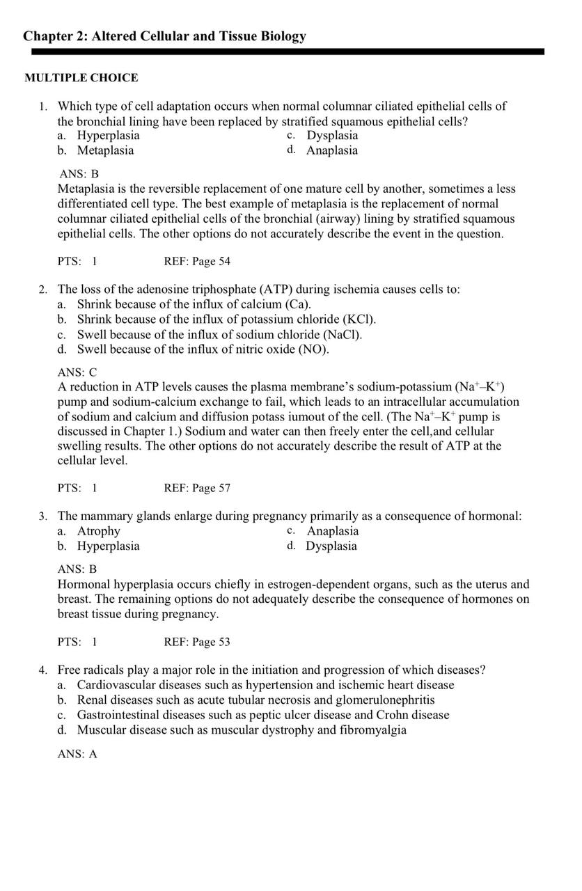
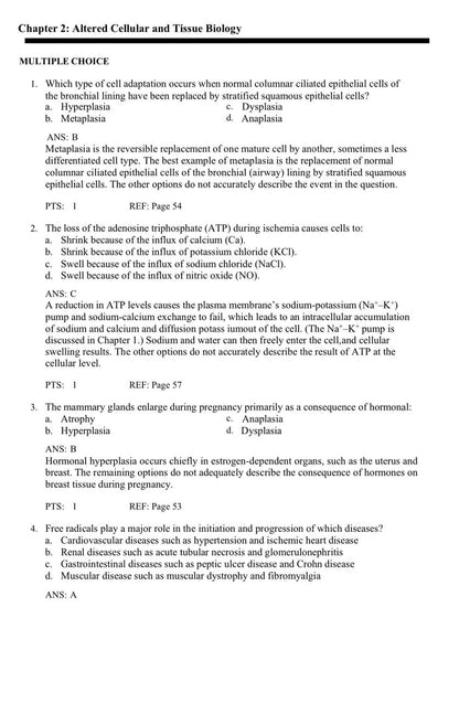
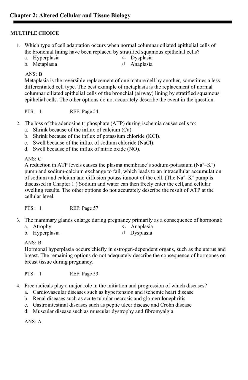
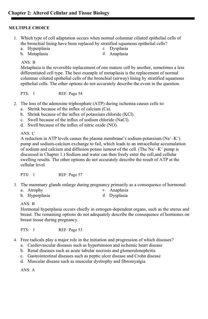
This Test Bank for Pathophysiology: The Biologic Basis for Disease in Adults and Children (9th Edition, McCance & Huether) is an essential resource for nursing and medical students aiming to master the mechanisms of disease and their clinical implications. Aligned with the 9th Edition textbook, it offers a comprehensive collection of exam-style questions, critical thinking scenarios, and clinical application exercises to enhance understanding and prepare for assessments.
Key topics covered include:
- Cellular and genetic mechanisms of disease
- Fluid and electrolyte balance
- Immune response and inflammation
- Hemodynamic alterations
- Disorders of the respiratory, cardiovascular, renal, gastrointestinal, and endocrine systems
- Neurological and musculoskeletal disorders
- Hematologic and oncologic conditions
- Pediatric and geriatric considerations in pathophysiology
- Multisystem and systemic responses to disease
Features:
- Multiple-choice and scenario-based questions
- Aligned with all chapters of the 9th Edition textbook
- Includes correct answers and rationales
- Designed to enhance clinical reasoning and critical thinking
- Ideal for exam preparation and classroom use
This resource supports students in reinforcing textbook content, improving clinical reasoning, and preparing effectively for assessments in pathophysiology.
Share

Everything worked great!
Accurate questions and answers.
Great quality test bank, really helped me study faster.
Good!
Instant download