Nursbank
Test Bank for Lewis’s Medical-Surgical Nursing: Assessment and Management of Clinical Problems – 12th Edition (Hagler, Harding, Kwong, Reinisch)
Test Bank for Lewis’s Medical-Surgical Nursing: Assessment and Management of Clinical Problems – 12th Edition (Hagler, Harding, Kwong, Reinisch)
5.0 / 5.0
(8) 8 total reviews
Couldn't load pickup availability
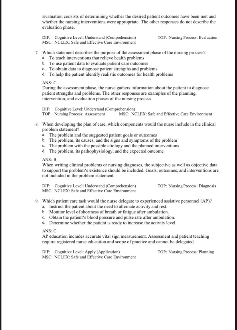
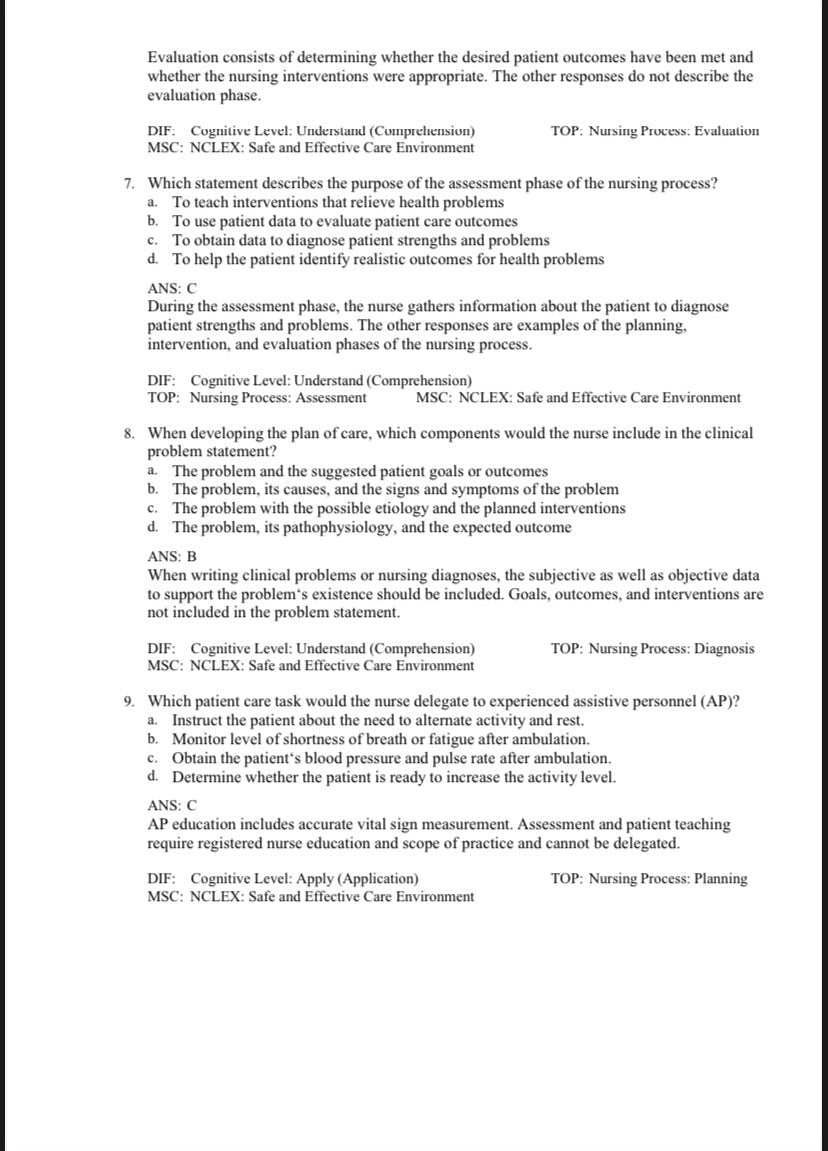
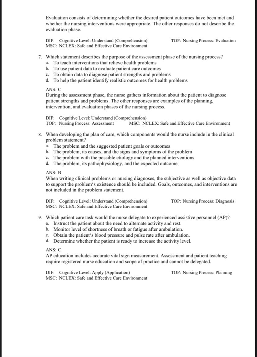
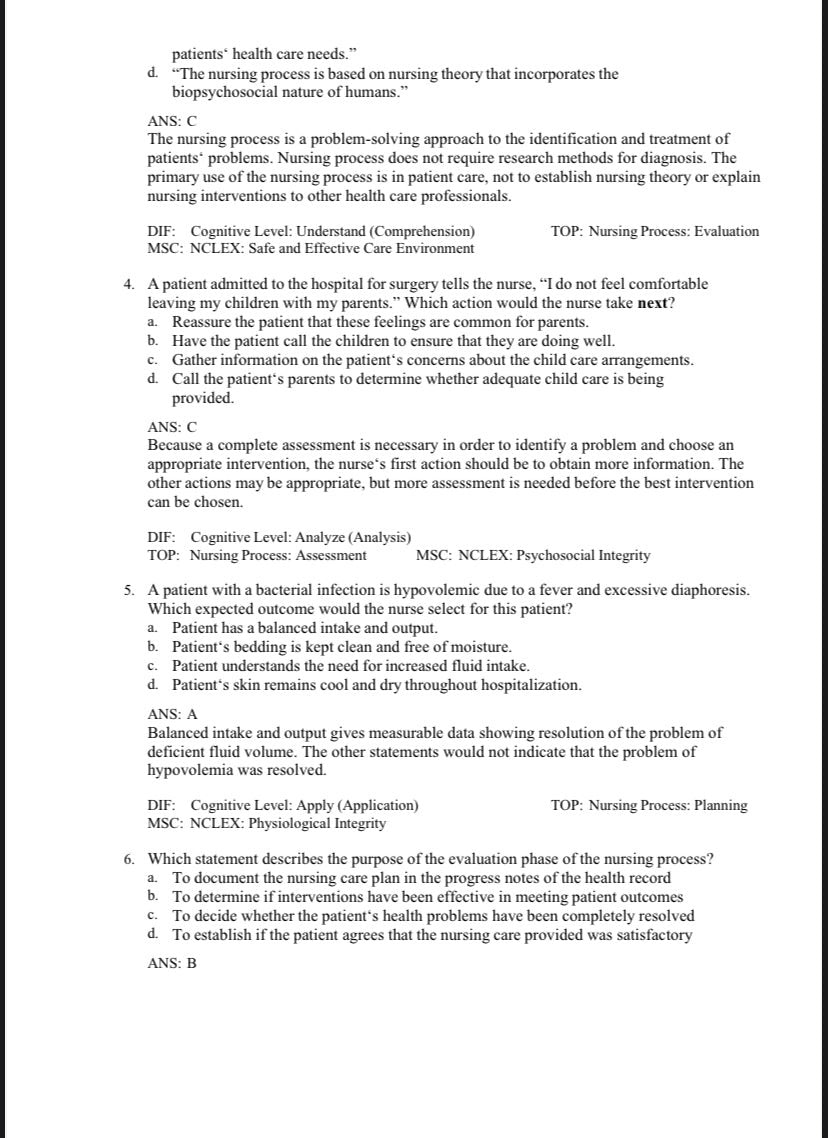
This Test Bank for Lewis’s Medical-Surgical Nursing: Assessment and Management of Clinical Problems (12th Edition, Hagler, Harding, Kwong, Reinisch) is an essential resource for nursing students and educators aiming to master medical-surgical nursing concepts and clinical skills. Aligned with the 12th Edition textbook, it offers a comprehensive collection of exam-style questions, critical thinking scenarios, and clinical application exercises to enhance understanding and prepare for assessments.
Key topics covered include:
- Professional nursing and patient-centered care
- Health assessment and clinical decision-making
- Fluid and electrolyte balance
- Immune response and infection
- Cardiovascular, respiratory, and renal systems
- Gastrointestinal, hepatic, and biliary systems
- Endocrine and metabolic disorders
- Neurological and musculoskeletal systems
- Hematologic and oncologic conditions
- Perioperative and emergency care
- Pain management and palliative care
Features:
- Multiple-choice and scenario-based questions
- Aligned with all chapters of the 12th Edition textbook
- Includes correct answers and rationales
- Designed to enhance clinical reasoning and critical thinking
- Ideal for exam preparation and classroom use
This resource supports nursing students in reinforcing textbook content, improving clinical reasoning, and preparing effectively for assessments in medical-surgical nursing.
Share

Exactly like the sample shown.
Thank you!
Good format and easy to navigate.
Everything worked flawlessly.
Nice!