Nursbank
Test Bank for Fundamentals of Nursing – 11th Edition (Potter, Perry, Stockert, Hall)
Test Bank for Fundamentals of Nursing – 11th Edition (Potter, Perry, Stockert, Hall)
5.0 / 5.0
(4) 4 total reviews
Couldn't load pickup availability
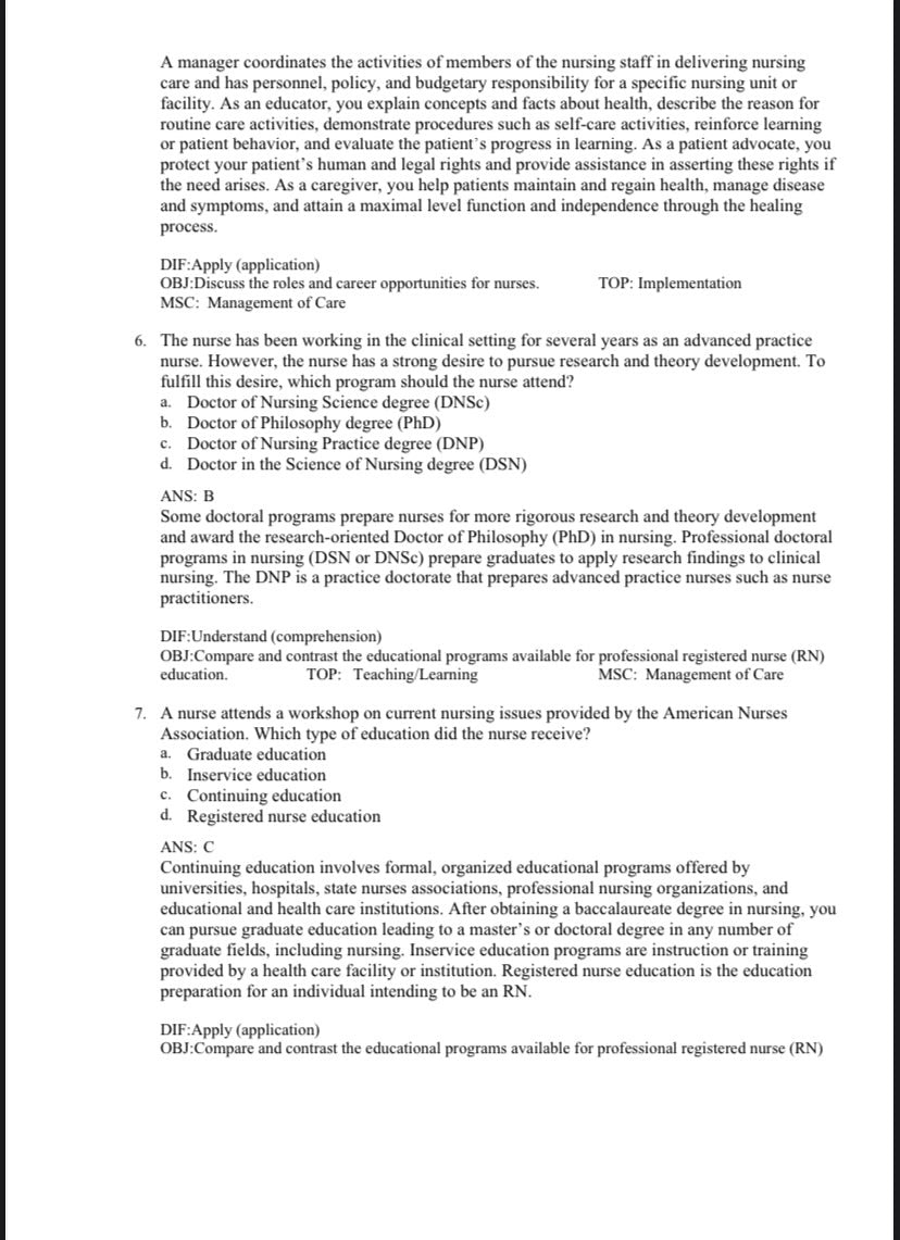
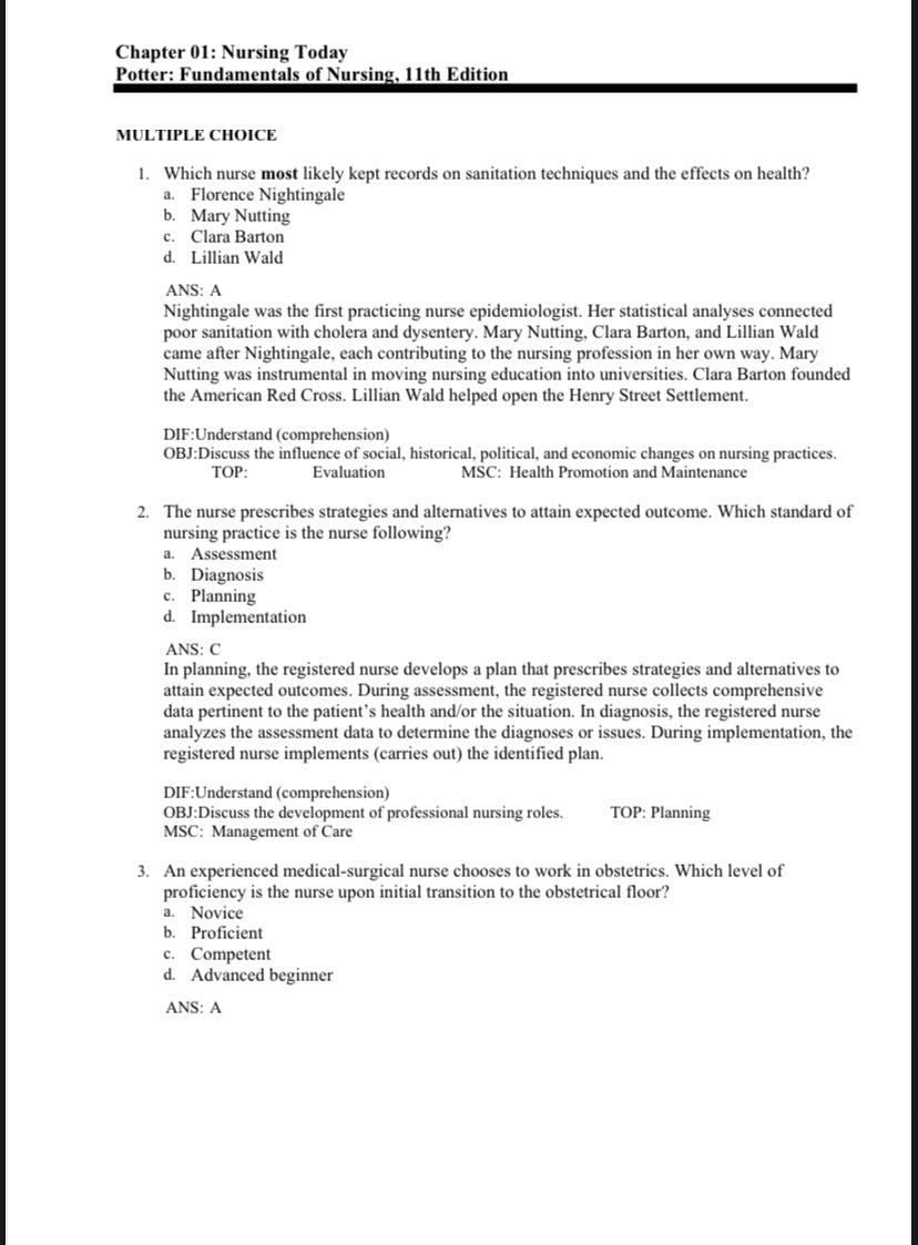
This Test Bank for Fundamentals of Nursing (11th Edition, Potter, Perry, Stockert, Hall) is an essential resource for nursing students and educators aiming to master foundational nursing concepts and clinical skills. Aligned with the 11th Edition textbook, it offers a comprehensive collection of exam-style questions, critical thinking scenarios, and clinical application exercises to enhance understanding and prepare for assessments.
Key topics covered include:
- Introduction to nursing and healthcare systems
- Nursing process and critical thinking
- Basic patient care and safety principles
- Communication, documentation, and patient education
- Health assessment and clinical decision-making
- Evidence-based practice and cultural competence
- Legal and ethical considerations in nursing
- Nursing care across the lifespan and diverse populations
Features:
- Multiple-choice and scenario-based questions
- Aligned with all chapters of the 11th Edition textbook
- Includes correct answers and rationales
- Designed to enhance clinical reasoning and critical thinking
- Ideal for exam preparation and classroom use
This resource supports nursing students in reinforcing textbook content, improving clinical reasoning, and preparing effectively for assessments in nursing practice.
Share

Very professional and organised!
Super helpful for my exams.
Everything downloaded perfectly.
Excellent PDF format, easy to read