Nursbank
Test Bank for Porth’s Pathophysiology: Concepts of Altered Health – 10th Edition (Norris)
Test Bank for Porth’s Pathophysiology: Concepts of Altered Health – 10th Edition (Norris)
5.0 / 5.0
(4) 4 total reviews
Couldn't load pickup availability
This Test Bank for Porth’s Pathophysiology: Concepts of Altered Health (10th Edition, Norris) is a comprehensive resource designed for nursing and medical students seeking to deepen their understanding of pathophysiological concepts and their implications in altered health states. Aligned with the 10th Edition textbook, it offers a wide range of exam-style questions, critical thinking scenarios, and clinical application exercises to enhance comprehension and prepare for assessments.
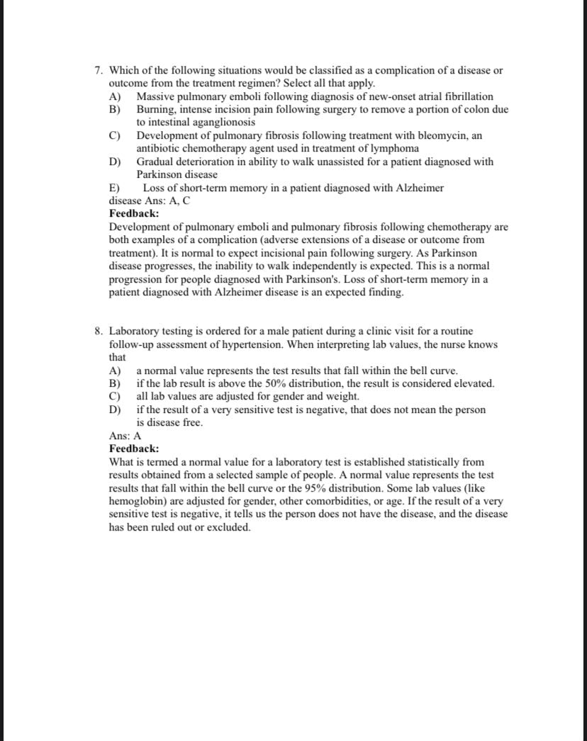
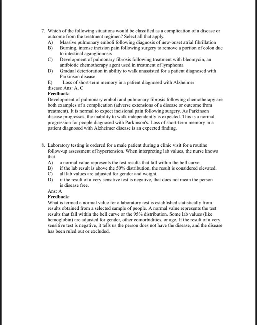
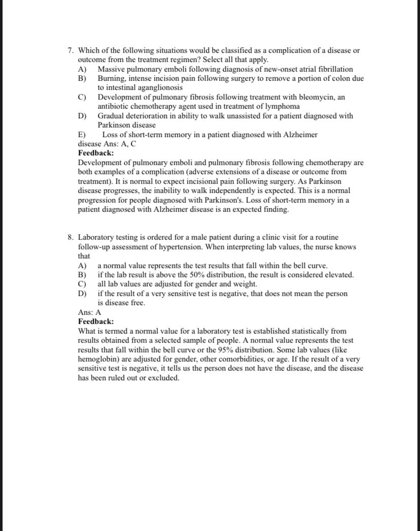
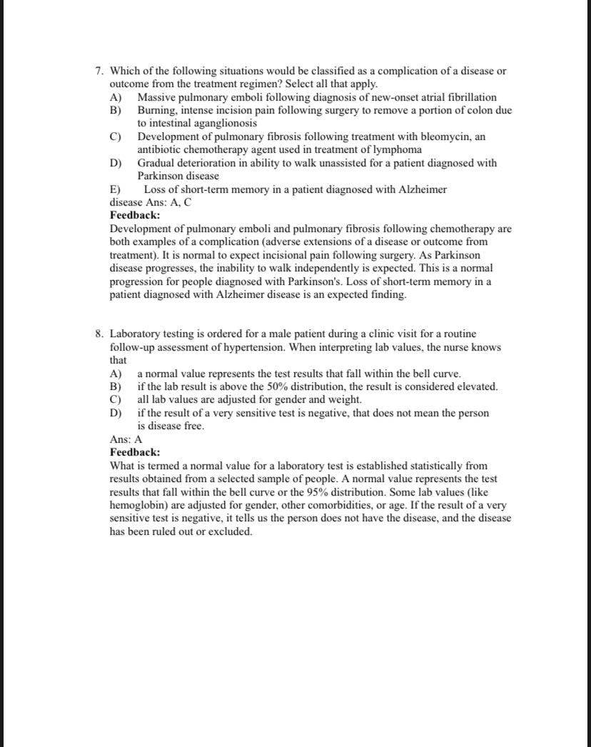
Key topics covered include:
- Cellular and genetic mechanisms of disease
- Fluid and electrolyte balance
- Immune response and inflammation
- Hemodynamic alterations
- Disorders of the respiratory, cardiovascular, renal, gastrointestinal, and endocrine systems
- Neurological and musculoskeletal disorders
- Hematologic and oncologic conditions
- Pediatric and geriatric considerations in pathophysiology
- Multisystem and systemic responses to disease
Features:
- Multiple-choice and scenario-based questions
- Aligned with all chapters of the 10th Edition textbook
- Includes correct answers and rationales
- Designed to enhance clinical reasoning and critical thinking
- Ideal for exam preparation and classroom use
This resource supports students in reinforcing textbook content, improving clinical reasoning, and preparing effectively for assessments in pathophysiology.
Share

Excellent resource for studying.
Everything was clear and easy to read.
Fast and reliable service.
Great test bank, exactly as promised.