Nursbank
Davis Advantage for Medical-Surgical Nursing: Making Connections to Practice – Test Bank (3rd Edition, Hoffman & Sullivan)
Davis Advantage for Medical-Surgical Nursing: Making Connections to Practice – Test Bank (3rd Edition, Hoffman & Sullivan)
5.0 / 5.0
(6) 6 total reviews
Couldn't load pickup availability
This Test Bank is built to accompany Davis Advantage for Medical-Surgical Nursing: Making Connections to Practice (3rd Edition, Hoffman & Sullivan). It offers a robust collection of exam-style questions and clinical scenarios tailored to the textbook’s chapters.
Key areas covered include:
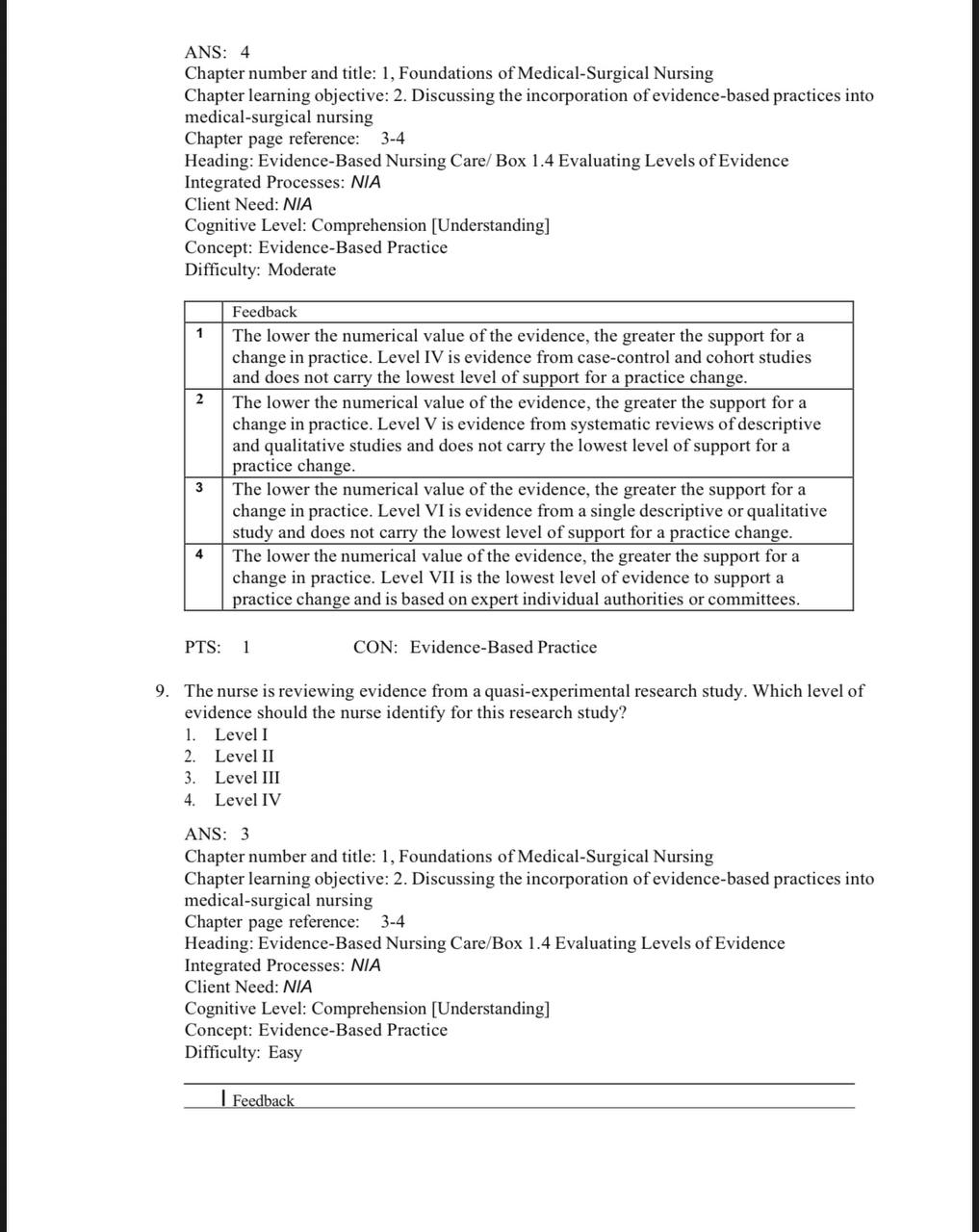
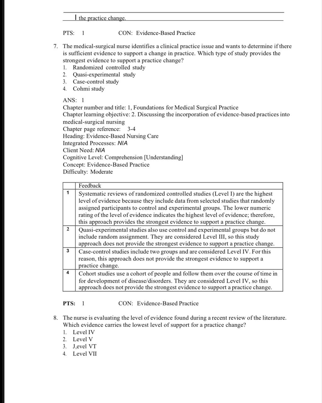
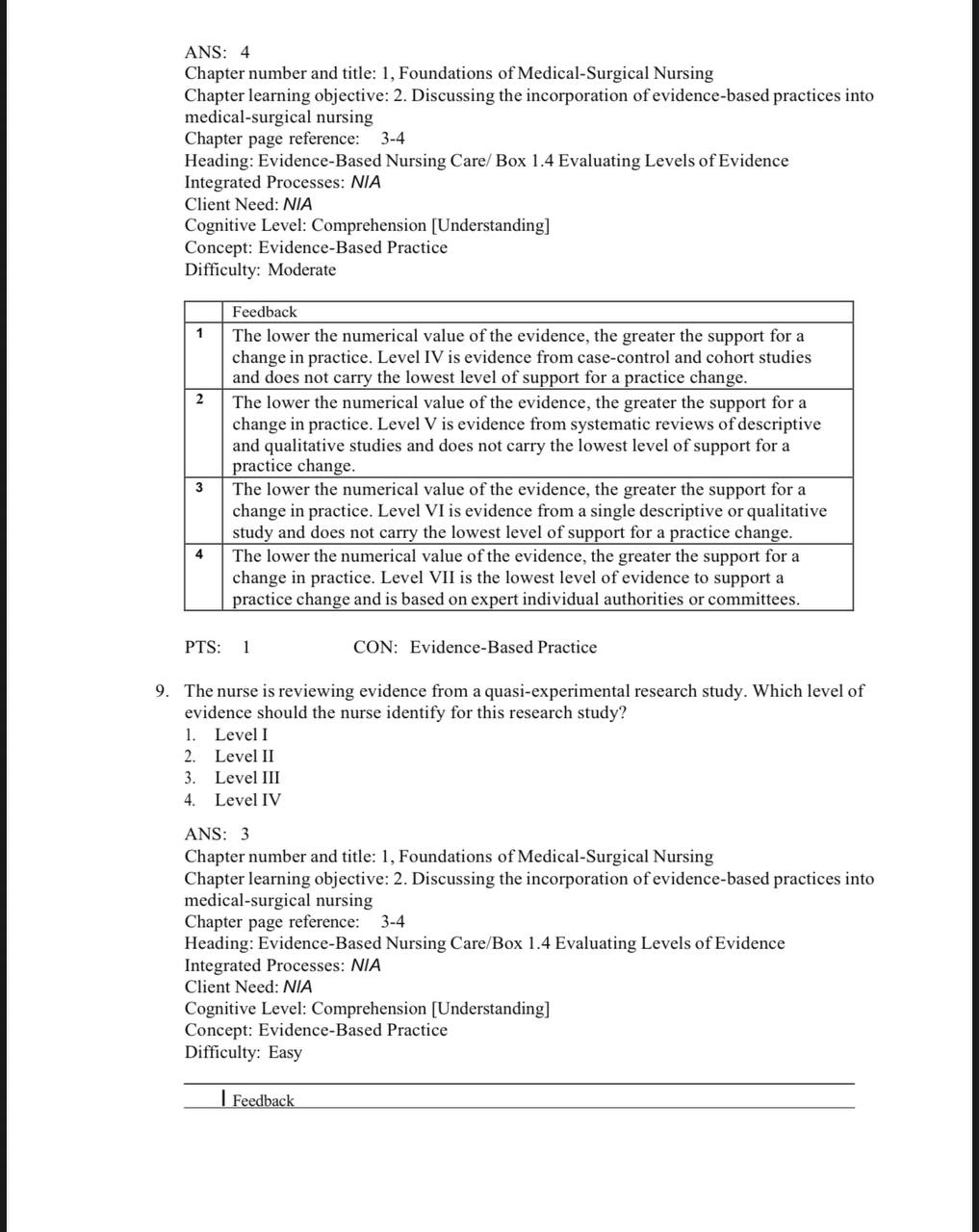
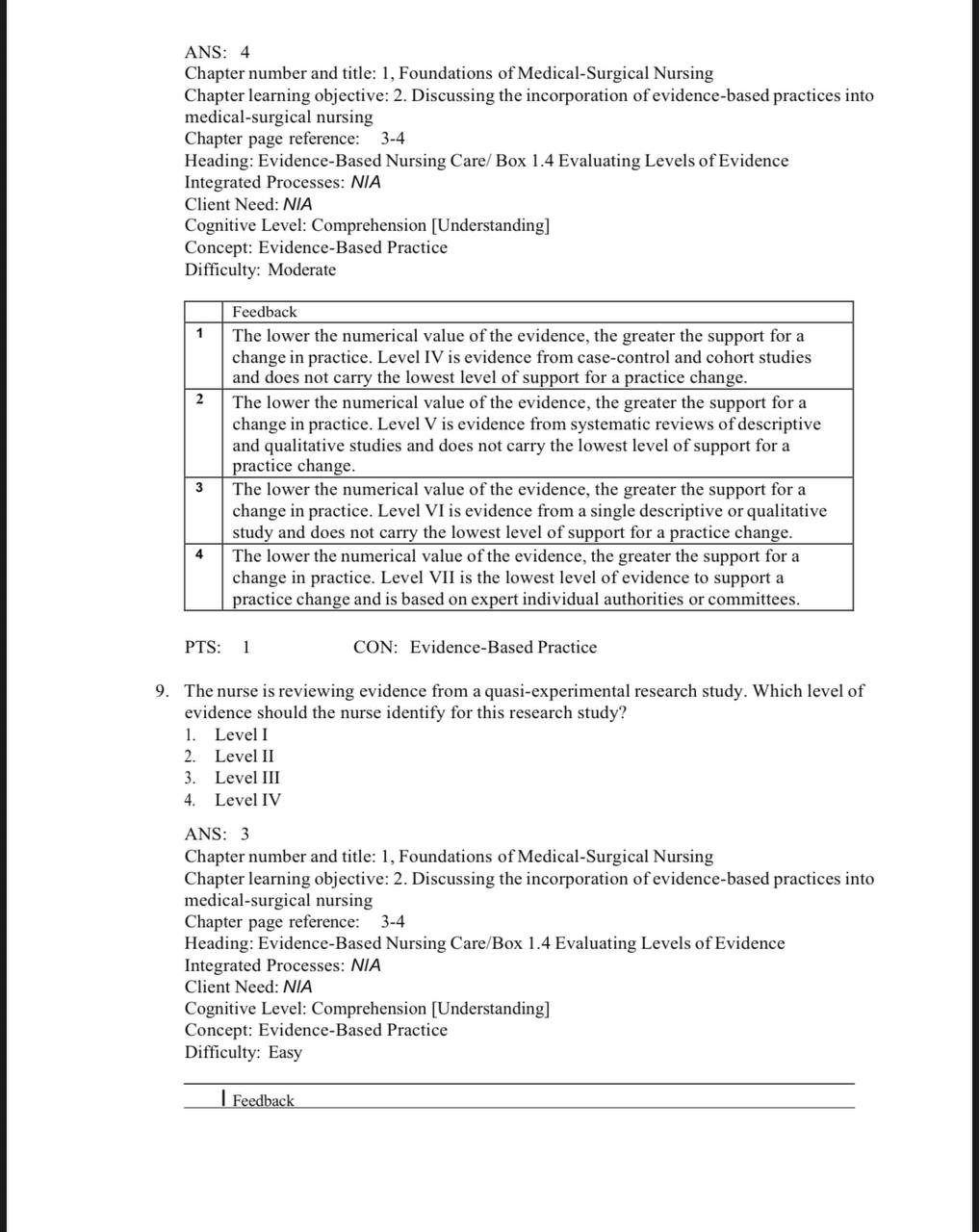
• Foundations of medical-surgical nursing
• Patient assessment, pathophysiology, and disease mechanisms
• Pharmacology, nursing interventions, and patient education
• Management of acute and chronic conditions across systems
• Safety, prioritization, care coordination, and evidence-based practice
• Complex case studies applying textbook concepts
Why use this Test Bank?
• Supports educators with ready-made assessment tools
• Helps students reinforce learning with realistic questions
• Aligns fully with the 3rd Edition’s chapter structure and objectives
• Ideal for exam preparation and enhancing clinical reasoning
Includes:
• Multiple-choice and scenario-based questions
• Clinical case studies and application prompts
• Answer key with rationales
This resource is a powerful tool for nursing instructors and advanced nursing students seeking mastery in medical-surgical nursing and success in assessments.
Share

Good price for such detailed material
Good price for such detailed material
Got my file right away, no issues at all
Very organized and easy to follow. Helped me pass my midterm.
Super helpful!